【導讀】估計很多人已經等不及了,什么時候可以開始環路的分析。為了盡快進入到大家關心的部分,這一講我們正式進入環路分析的部分——傳遞函數。
估計很多人已經等不及了,什么時候可以開始環路的分析。為了盡快進入到大家關心的部分,這一講我們正式進入環路分析的部分——傳遞函數。
傳遞函數,簡單的理解就是輸入和輸出之間的關系。為了方便我們僅僅對開關電源傳遞函數進行分析,傳遞函數的其他細節這里不做展開,我們只需要知道傳遞函數所表達的含義就行。
1.為什么要研究傳遞函數?
很多人可能會有疑問,研究環路穩定性研究傳遞函數干嘛,為什么要研究傳遞函數?
可以這樣理解,通過傳遞函數可以知道這個系統對不同頻率信號響應,而這些響應通過畫出傳遞函數的波特圖又能知道傳遞函數在某點頻率的相位和增益。一個系統要穩定可靠,那就需要一定的相位裕度和增益裕度。所以呢,傳遞函數是我們用來分析開關電源環路是否穩定的工具。

從上面這個邏輯框圖可以看出,只有傳遞函數可以將環路是否穩定不用儀器測量,單獨靠計算就能得出結果的手段。
舉個例子,在公司評定一個研發人員的技能水平的高低。這個比較抽象,但是公司有一套任職的機制,你符合這個機制,就能做對應的事,所以要把技能和崗位之間建立起聯系就需要一個可以操作的,可以看得到的行為,那就是任職評審。

同理,開關電源環路穩定是否,我沒法用眼睛看出來,除非是用儀器測試,但是我在不測試的情況下,判斷是否穩定就需要計算整個傳遞函數的增益和相位。而傳遞函數的波特圖剛好就能提供這兩個參數,因此,就需要研究傳遞函數。
2.如何求解傳遞函數?
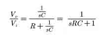
根據定義求解傳遞函數非常簡單,比如簡單的RC電路。

對單個簡單的電路求傳遞函數在s域,使用電路基本定律就可以求解。分析這個電路是否穩定也比較簡單,直接分析它的波特圖,很明顯是穩定的,這里就不做仿真了。

可是我們分析的開關電源并不是上面那么簡單。電壓控制模式的框圖如下:

對于這樣復雜的系統顯然分析方法和前面的RC電路不一樣,那我們怎么分析呢?
現在存在一個復雜的系統,內部包含了很多個環節,類似我們的開關電源系統。
分析這樣復雜的系統有兩種方法:
種是把系統當做黑盒處理,直接求解輸出和輸入的關系,這種思路在以前的學習中用的比較多,已知x點和y點的坐標數值,讓我們求解x和y的關系,我們通過假定x和y存在某種函數關系,代入數值就能解出他們之間關系的表達式。
另外一種方法是把系統當做白盒處理,分析系統中每個部分,然后將每個部分進行疊加,這種方法相對復雜,但也是解決問題的一種思路。
因此,分析開關電源環路穩定性的精要所在就是求出開關電源系統的傳遞函數,直接求解沒有思路,只能的求解,然后得到從輸入到輸出的傳遞函數。
針對上面的框圖,傳遞函數可以表示成:

3.開關電源傳遞函數
要求開關電源系統的傳遞函數,需要先將整個系統劃分為幾個部分。按照上面分析的思路,求解每個部分的傳遞函數,整合就是終的傳遞函數。

針對電壓控制模式的開關電源,我們按照電路的功能將其分為三個部分,分別是功率級,反饋級,控制級。下面的重點任務就是分析每個級的傳遞函數。這部分內容將在下篇文章中進行詳細的討論。
免責聲明:本文為轉載文章,轉載此文目的在于傳遞更多信息,版權歸原作者所有。本文所用視頻、圖片、文字如涉及作品版權問題,請聯系小編進行處理。
推薦閱讀:




