中心議題:
- 基于HSI模型的全彩LED驅動電路的設計方案
- LED驅動電路硬件和軟件設計及仿真
- HSI模型
解決方案:
- PWM控制恒流源驅動
- 基于HSI模型驅動設計
為了改善led模組的照明質量,實現對LED模組色溫的調節,通過分析LED模組的驅動電路技術,提出一種基于HSI模型的全彩LED驅動電路的設計方案。該驅動電路利用三色比例調節達到所需要的顏色,并采用PID調節方式,以保證調節的穩定。另外還可以調節輸出光的色溫和光強,達到了良好的照明效果。
1 總體設計
圖1為HIS模型下全彩LED驅動電路的總體設計。硬件部分采用恒流驅動芯片PT4115,采用總一分的方式進行RGB驅動,通過采樣電路獲取R,G,B三路電流信號反饋,用來調節R,G,B的比例。軟件采用STC系列單片機作為主調節模塊,通過獲取A/D轉換調節三色顏色比例,采用PID調節方式,以保證調節的穩定。

2 LED驅動電路硬件設計
2.1 恒流驅動原理
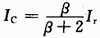
如圖2所示,這里由兩只特性相同的管子VT0和VT1構成,兩管的發射極分別接入電阻Re0和Re1。電阻R中的電流為基準電流,其表達式為:
![]()
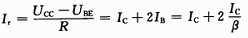
所以集電極電流為:
![]()
由于這里通過改變Ic1和Ir的關系,使工Ic1和Ir呈比例關系,從而克服鏡像恒流源電路的缺點。理論推導證明:
![]()
可見,只要改變Re0和Re1的阻值,就可以改變Ic1和Ir的比例關系,其基準電流Ir為:
![]()
通過Re0和Re1電流負反饋電阻,從而使恒流源的輸出電流Ic1具有更高的穩定性。

[page]
2.2 PWM控制恒流源驅動
PWM調節是指通過一個周期內脈寬占空比的形式來驅動LED的方式,LED的平均驅動電流取決于脈沖波形的占空比和LED額定驅動電流,在驅動電流固定時,通過改變PWM占空比可以調節驅動電流大小。為了避免閃爍,故PWM調節的頻率選擇在500 Hz左右。如圖3所示。

這里采用LED驅動芯片PT4115。PT4115是一款連續電感電流導通模式的降壓恒流源IC,能將直流電壓直接轉換成穩定的恒流輸出。
圖4為在PWM調光模式下外加PWM脈沖驅動信號和輸出驅動電流的測量結果。PWM占空比從0~100%。從圖中可以清楚的看到,通過改變不同的PWM占空比可以調節額定電流,PT4115最大能夠輸出1.2 A的電流。

輸出的額定電流由以下公式得到:

式中:D為PWM的占空比。
3 HSI模型
3.1 HIS模型的轉換
RGB模型面向電路,而HSI模型與人的顏色感知一一對應,所以需要通過RGB模型完成到HSI模型的轉換:

式中:H分量表示色調;S代表飽和度;I代表亮度。
[page]
3. 2 基于HSI模型驅動設計方案
主要通過HSI模型控制RGB模型,如圖5所示,通過I分量作為總線控制,再又驅動電路設定顏色,并讓R,G,B三種分量經過加法器之后進行自穩定,傳感器獲取光線亮度條件,并轉換為S分量用來處理。以下是具體的模塊實現:通過向HCS12單片機中設置環境亮度以及色溫,控制4線共陰的全彩LED,通過采樣電阻反饋RGB三種顏色驅動電路中的電流信號,從而通過調節三色比例達到調節色溫的目的。再通過光亮度傳感器向單片機反饋數據,直接調節總線驅動電路限定額定最大電流,從而控制全彩LED燈光的亮度。當調節為白色燈光時,只需固定好三色比例為1:1:1,從而直接調節總線驅動電路就可調節LED的光亮度。這里需要對每路驅動電路分別使用PT4115作為驅動電路。
4 軟件設計及仿真
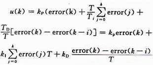
這里穩定色溫采用離散PID調節的方式:

首先進行參數的設定,A/D轉換之后通過加法器獲取H分量,H分量代表色溫,通過PID調節穩定色溫達到在調節LED亮度之后,顏色不變。通過調節P,I,D三個參數,讓光亮度的變化可以盡量地適應人眼對于光的感受。PID調節與仿真見圖6。

5 結語
本文討論了LED恒流源PWM調節,介紹了PWM調節的電路,并提出了一種基于HSI模型的驅動控制電路,通過HSI模型控制RGB模型,并且可以通過三色驅動電路比例調節達到所需要的顏色。該電路可以克服調節亮度的時候會產生色差,亮度不好調節的問題,根據個人喜好調節LED燈具的光強和色溫,通過直接調節總線驅動電路限定額定最大電流,從而控制全彩LED燈光的亮度,從而使此驅動電路達到了良好的照明效果。





