- 基于MOSFET內部的微觀結構去考慮驅動電路的設計
- 提供足夠的放電電流讓MOSFET快速關斷
- 提高開關速度,縮短熱不穩定過程
功率MOSFET的柵極模型
通常從外部來看,MOSFET是一個獨立的器件,事實上,在其內部,由許多個單元(小的MOSFET)并聯組成,圖1(a)為AOT460內部顯微結構圖,其內部的柵極等效模型如圖1(b)所示。MOSFET的結構確定了其柵極電路為RC網絡。

在MOSFET關斷過程中,MOSFET的柵極電壓VGS下降,從其等效模型可以得出,在晶元邊緣的單元首先達到柵極關斷電壓VTH而先關斷,中間的單元由于RC網絡的延遲作用而滯后達到柵極關斷電壓VTH而后關斷。

如果MOSFET所加的負載為感性負載,由于電感電流不能突變,導致流過MOSFET的電流向晶元的中間流動,如圖2所示。這樣就會造成MOSFET局部單元過熱而導致MOSFET局部單元損壞。如果加快MOSFET的關斷速度,以盡量讓MOSFET快速關斷,不讓能量產生集聚點,這樣就不會因局部單元過熱而損壞MOSFET。注意到:MOSFET的關斷過程是一個由穩態向非穩態過渡的過程,與此相反,MOSFET在開通時,由于負載的電流是隨著單元的逐漸開通而不斷增加的,因此是一個向穩態過渡的過程,不會出現關斷時產生的能量集聚點。
因此,MOSFET在關斷時應提供足夠的放電電流讓其快速關斷,這樣做不僅是為了提高開關速度而降低開關損耗,同時也是為了讓非穩態過程盡量短,不至產生局部過熱點。
功率MOSFET熱不穩定性

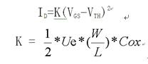
圖3為MOSFET處于飽和區時漏極電流ID與柵極電壓VGS的關系曲線即轉移特性,用公式可表示為:

由圖3可知,當MOSFET處于飽和區并且IDID0時,ID隨溫度的變化是負溫度系數。因為MOSFET是由很多的小的單元組成,當ID<ID0且處于飽和區時,如果部分單元溫度偏高,則這些單元會趨向流過更多的電流,繼而溫度會更高,因此這是一個正反饋過程,MOSFET最終會因為局部過熱而損壞。由于功率MOSFET在開通和關斷的過程中是工作在飽和區,因此應提高開關速度,縮短這樣的熱不穩定過程。
[page]
應用實例
圖4是電動車控制器的兩種驅動MOSFET管AOT460驅動電路,分立器件驅動時,PWM在上橋臂,直接用MC33035驅動時,PWM在下橋臂。

圖4(a)當MOSFET管AOT460關斷時,柵極通過Q5直接放電。圖4(b)驅動電路中,當MOSFET管AOT460關斷時,柵極電流通過電阻R6和MC33035的下驅動對地放電。由于MOSFET管AOT460在關斷時電流迅速減小,會在PCB和電流檢測電阻的寄生電感上產生感應電勢,感應電勢的大小為Ldi/dt,方向如圖紅線所示。這樣會使MOSFET管AOT460的源極和MC33035驅動的參考電位發生相對變化,這種變化降低了MC33035相對于MOSFET管AOT460源極的驅動電壓,從而降低了驅動能力,使關斷速度變慢。
兩種電路的關斷波形如圖5所示。在圖5(b)中,當VGS低于米勒平臺之后,電阻R6兩端的電壓,即圖5(b)中CH1和CH3的電位差變小,由于反電勢的影響,驅動線路已經幾乎不能通過電阻R6給柵極提供放電電流,導致MOSFET的關斷變慢。(注:測試波形時探頭的地線均夾在MOSFET的源極)
圖6為AOT460在同一應用中快速開關和慢速開關情況下的熱成像照片。可以看出,在慢速開關情況下MOSFET的局部溫度要高于快速開關情況下的溫度,過慢的開關速度會導致MOSFET因局部溫度過高而提前失效。


本文小結
①過慢的開關速度增加MOSFET的開關損耗,同時由于柵極RC網絡延遲和MOSFET本身的熱不穩定性產生局部過熱,使MOSFET提前失效。
②過快的開通速度產生較大開通的浪涌電流以及開關振鈴及電壓尖峰。
③設計驅動線路和PCB布線時,減小主回路PCB和電流檢測電阻的寄生電感對開關波形的影響,布線時應使大電流環路盡量小并且使用較寬的走線。
①過慢的開關速度增加MOSFET的開關損耗,同時由于柵極RC網絡延遲和MOSFET本身的熱不穩定性產生局部過熱,使MOSFET提前失效。
②過快的開通速度產生較大開通的浪涌電流以及開關振鈴及電壓尖峰。
③設計驅動線路和PCB布線時,減小主回路PCB和電流檢測電阻的寄生電感對開關波形的影響,布線時應使大電流環路盡量小并且使用較寬的走線。



