【導讀】PCB布線的方式一直在加速改進,靈活地布線方式也多了起來。眾所周知,靈活地布線技術能夠有效地縮短導線長度,釋放更多的PCB空間。正因為傳統的布線方式受到導向坐標固定以及缺少角度的限制,但是現在人們不斷地改進和提高,布線的質量已經有了明顯的提升。
任意角度布線的優勢
任意角度布線有許多優勢。首先,不使用線段間的角度可以節省PCB空間(多邊形所占的空間總是要大于內切圓)。
傳統的自動布線器在緊鄰元件之間只能布3根線(見圖1中的左邊和中間)。而任意角度布線時的空間足以在相同路徑上布4根線而不違反設計規則檢查(DRC),見圖1右邊。

圖1:左邊和中間的圖:傳統自動布線器在緊鄰元件之間只能布3根線。右圖:任意角度布線時的空間足以在相同路徑上布4根線而不違反DRC。
假設我們有一個正方式芯片,想把芯片引腳連接到另外兩列引腳(見圖2)。只使用90度夾角要占很大的面積(見圖2頂部)。
假設我們有一個正方式芯片,想把芯片引腳連接到另外兩列引腳(見圖2)。只使用90度夾角要占很大的面積(見圖2頂部)。



[page]
使用任意角度布線可以縮短芯片和其它引腳之間的距離(圖2中間),同時減小占用面積。在本例中,面積從30cm2縮小到了23cm2。
任意角度旋轉芯片還可以提供更好的效果。在本例中,面積從23 cm2縮小到了10 cm2(圖2底部)。圖3顯示了一塊真實的PCB。帶旋轉芯片功能的任意角度布線是這種電路板的唯一布線方法。這不僅是一個理論,也是得到實際應用的解決方案(有時是唯一可行的解決方案)。

圖3:帶旋轉芯片功能的任意角度布線是給這種電路板布線的唯一方法。
圖4顯示了一個簡單PCB的例子。拓撲布線器結果如圖4a所示,而基于最佳形狀的自動布線器結果如圖4b所示。圖4c是實際PCB的照片。基于最佳形狀的自動布線器無法完成這種電路板的布線,因為元件被旋轉成任意角度放置。你需要更多的面積,如果不旋轉元件,設備必須做得更大。


電磁干擾(EMI)
如果沒有并行導線段,版圖性能將得到很大的提升,因為并行導線段經常是串擾的來源。隨著并行導線長度的增長,串擾等級將呈線性增加。當并行導線之間的間距增加時,串擾則呈二次方減小。讓我們把兩條并行的1mm長導線在間距為d時所產生的串擾等級設為e。
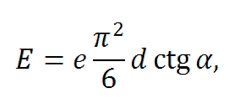
如果導線段之間有個夾角,那么當這個夾角增加時,串擾等級將下降。這時的串擾不取決于導線長度,僅受限于夾角值:

其中α代表導線段之間的夾角。

下面考慮三種導線布線方式。在圖6中的左邊(90度布局),由于并行線段而存在最大的導線長度和最大的電磁干擾值。在圖6的中間(45度布局),導線長度和電磁干擾值都減小了。在圖2的右邊(任意角度),導線長度最短,也沒有并行的導線段,因此干擾值可以忽略不計。

圖6:三種導線布線方式。
因此任意角度布線有助于減小總的導線長度,并顯著減少電磁干擾。另外你應該還記得對信號延時的影響吧(導線方向不應該并行,并且不應該垂直于PCB玻璃纖維方向)。
相關閱讀:
【PCB設計小貼士3】輕松搞定“PCB布線設計“的經驗之談
【PCB設計小貼士2】PCB布線設計的經驗之談
【PCB設計小貼士1】PCB布線設計的經驗之談




