- 智能功率器件的應用
- 沖擊電流的物理模型
在汽車的各類控制模塊的中,特別是在車身電子控制模塊中,車燈在車身電子控制模塊的負載中占有很大比重。而當開通車燈時的沖擊電流對于設計者來說要更加注意,因為不正確的器件選型和設計會對器件造成永久損害而失效,甚至影響產品的質量。本文以英飛凌公司的智能PROFETBTS5020-2EKA_DS20為例,詳細解釋了燈泡在沖擊電流的物理模型,進而給出了如何在設計中計算沖擊電流下驗證器件的安全。
沖擊電流的產生和負載的種類和特性有關,和通斷頻率也有關系。特別是在有沖擊電流存在的負載的情況請與穩態電流一起測定沖擊電流值。下圖顯示了有代表性的負載種類與沖擊電流的關系。

從上表可以看出,當負載為燈泡時,沖擊電流是穩態電流的10~15倍,本文討論的重點為白熾燈。為了更好的理解燈泡的沖擊電流,可以通過對白熾燈外部特性,建立關于白熾燈的PSPICE的模型,進而可以通過仿真進行研究沖擊電流的特性。以車大燈為例,55W@12V。

上圖為需要確定參數的白熾燈的參數模型,下面來把每個參數逐一定義出來。
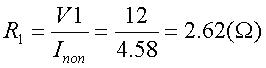
第一步:先計算出穩態下的

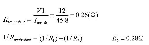
第二步:確定R2。在Inrush的初始狀態,白熾燈的等效電路呈現出電容的特性:即在很短暫的時間到達峰值電流后,又被衰減成穩態電流。因此,還需要在電容的回路上串聯一個電阻(R2)。

第三步:計算電容的值。白熾燈的等效電路上電容電流的衰減可以由下式給出:

(可以認為在10ms的時間后電流達到了穩態電流值,此時的沖擊電流已經下降到初始值的約63%。)

下圖給出了完成了參數定義的55W白熾燈泡的PSPICE等效模型。

為了驗證參數定義的有效性,用PSPICE仿真的結果和實際的測量值相當的一致。需要注意的是,這個模型只是給出了冷態下單次沖擊電流下白熾燈的模型。
用PSPICE仿真出來的結果,如下圖。




