【導讀】許多雷達系統要求低相位噪聲以最大限度抑制雜波。高性能雷達需要特別關注相位噪聲,導致在降低頻率合成器的相位噪聲和表征頻率合成器部件的相位噪聲方面投入了大量的設計資源。
大家知道,為實現低相位噪聲性能,尤其是超低相位噪聲性能,必須使用低噪聲電源才能達到最佳性能。但文獻上沒有詳細說明如何通過一種系統化方法來量化電源噪聲電壓電平對相位噪聲的影響。本文旨在改變這種狀況。
本文提出了電源調制比(PSMR)理論,用來衡量電源缺陷如何被調制到RF載波上。通過電源噪聲對RF放大器相位噪聲的貢獻來驗證這一理論;測量結果表明,可以計算并且相當準確地預測該貢獻。基于此結果,本文還討論了描述電源特性的系統化方法。
導言和定義
電源調制比與眾所周知的電源抑制比(PSRR)相似,但有一個關鍵不同點。PSRR衡量電源缺陷直接耦合到器件輸出的程度。PSMR衡量電源缺陷(紋波和噪聲)如何被調制到RF載波上。
下面的“原理”部分引入了一個將PSMR與電源缺陷相關聯的傳遞函數H(s),用以定量地說明電源缺陷如何被調制到載波上。H(s)具有幅度和相位兩個分量,可以隨著頻率和器件工作條件而變化。盡管變量很多,但一旦確定其特征,便可以利用電源調制比并根據電源數據手冊中的紋波和噪聲規格來準確預測電源的相位噪聲和雜散貢獻。
原理
考慮用于RF器件的直流電源上的紋波。電源紋波用一個正弦波信號來模擬,其峰峰值電壓以直流輸出為中心。該正弦波被調制到 RF載波上,在等于正弦波頻率的頻率偏移處產生雜散信號。

圖1. 電源上的正弦波紋波調制到RF載波上產生雜散信號
雜散水平與正弦波幅度和RF電路靈敏度均有關系。雜散信號可以進一步分解為幅度調制分量和相位調制分量。總雜散功率水平等于幅度調制(AM)分量的雜散功率加上相位調制(PM)分量的雜散功率。
對于這里的討論,H(s)是從電源缺陷到RF載波上的干擾調制項的傳遞函數。H(s)同樣有AM和PM兩個分量。H(s)的AM分量是Hm (s), H(s)的PM分量是HØ (s)。以下等式利用H(s)進行實際RF測量,假設低電平調制可用來模擬電源對RF載波的影響。
信號的幅度調制可以寫成
幅度調制分量m(t)可以寫成

其中fm是調制頻率 RF載波的AM調制電平可以直接與電源紋波相關,關系式如下:
vrms是電源電壓的交流分量的均方根值。這是關鍵等式,它提供了一種計算電源紋波引起的RF載波AM調制的機制。
雜散電平可以通過幅度調制來計算

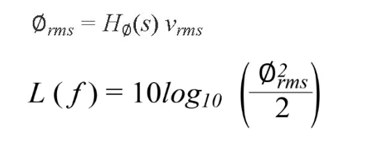
類似地可以寫出電源對相位調制的影響。相位調制信號為

相位調制項為

同樣,相位調制可以直接與電源相關,關系式如下

上式是提供了一種計算電源紋波引起的RF載波PM調制的機制。相位調制引起的雜散電平為

為了幫助可視化mrms和Ørms的雜散影響,圖2顯示了雜散電平與 mrms和Ørms的關系。

圖2. 雜散電平與mrms和Ørms的關系
總結一下上面的討論,電源上的紋波轉換為電源電壓交流項的均方根電壓vrms的調制項mrms和Ørms。Hm (s)和HØ (s)分別是從vrms到 mrms和Ørms的傳遞函數。
現在考慮相位噪聲。正如正弦波調制到載波上產生雜散信號一樣,1/f電壓噪聲密度也會調制到載波上產生相位噪聲。

圖3. 電源上的1/f噪聲調制到RF載波上產生相位噪聲
同樣,如果我們考慮一個具有相位調制的信號x(t),那么

在這種情況下,Ø(t)是一個噪聲項。
功率譜密度定義為

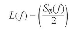
相位噪聲依據功率譜密度來定義

接下來,對于電源紋波引起的相位調制所產生的雜散,將同樣的HØ (s)應用于相位噪聲。在這種情況下,HØ (s)用于計算電源上 1/f噪聲產生的相位噪聲。

測量實例
為了演示上述原理,我們表征了HMC589A RF放大器的電源靈敏度和相位噪聲,利用多個電源測量了這些量。用于表征的HMC589A 評估電路如圖4所示。

圖4. 使用HMC589A放大器來演示PSMR原理
為了表征電源靈敏度,將一個正弦波注入5 V電源。正弦波在RF 上產生雜散信號,以dBc來衡量雜散信號大小。雜散內容進一步分解為AM分量和PM分量。采用Rohde & Schwarz FSWP26相位噪聲分析儀和頻譜分析儀。AM和PM雜散電平分別通過AM和PM 噪聲測量來衡量,并使能雜散測量。結果列成表格,測試條件 為3.2 GHz,RF輸入為0 dBm。

表1. HMC589A表征雜散與電源正弦波紋波的關系, 3.2 GHz,0 dBm輸入功率
測試數據表明,RF放大器的電源靈敏度可以利用正弦波調制憑經驗測量,結果可用來預測電源噪聲對相位噪聲的貢獻。更一般地,這可以擴展到任何RF器件。這里我們用放大器表征和測量來演示原理。
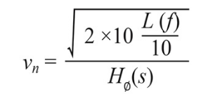
首先,使用一個噪聲相當高的電源。測量噪聲密度。基于表征 的HØ (s)計算電源對相位噪聲的貢獻,并與相位噪聲測量值進行比較。使用Rhode & Schwarz FSWP26進行測量。噪聲電壓通過基帶噪聲測量來衡量。利用測試裝置的內部振蕩器測量加性相位噪聲,以此來衡量放大器殘余相位噪聲。測試配置如圖5所示。在這種配置中,振蕩器噪聲在混頻器中被消除,任何不常見的噪聲都會在交互相關算法中予以消除。這樣,用戶便可實現非常低電平的殘余噪聲測量。

圖5. 采用交互相關方法的放大器殘余相位噪聲測試設置
電源噪聲、實測相位噪聲和預測的電源噪聲貢獻如圖6所示。很明顯,在100 Hz到100 kHz偏移之間,相位噪聲主要由電源決定,關于電源貢獻的預測非常準確。

圖6. 使用高噪聲電源進行技術驗證
用另外兩個電源重復該測試。結果如圖7所示。同樣,電源對相位噪聲的貢獻是完全可以預測的。

圖7. 用另外兩個電源驗證該技術
低相位噪聲器件表征的一個常見挑戰是要確保測量結果屬于器件而非周圍環境。為了消除測量中的電源貢獻,使用ADM7150 低噪聲穩壓器。從數據手冊中引用的噪聲密度以及用于相位噪聲測試的器件的噪聲電壓測量結果如圖8所示。


圖8. 低噪聲穩壓器ADM7150的噪聲電壓密度
表2列出了一系列低噪聲穩壓器及其關鍵參數。這里給出的器件都非常適合為低相位噪聲RF設計中的RF器件供電;相關條件和特性曲線請參閱數據手冊。數據手冊中包括了多個偏移頻率下的噪聲密度和PSRR曲線。表中顯示了10 kHz偏移的噪聲密度,因為該區域對許多穩壓器而言通常存在限制。所示的PSRR 對應于1 MHz偏移,因為許多線性穩壓器在這些偏移處會失去抑制能力,需要額外的濾波。

表2. 低噪聲穩壓器系列最適合低相位噪聲RF設計
從ADM7150供電時,HMC589A殘余相位噪聲測試的結果如圖9 所示。該測量結果顯示了放大器的真實性能,其本底噪聲低 于-170 dBc / Hz,并且此性能一直保持到10 kHz偏移。

圖9. HMC589A殘余相位噪聲,3.2 GHz,輸入RF功率為0 dBm,ADM7150 穩壓器提供直流電源
描述電源特性的系統化方法
低相位噪聲應用的電源設計通常會不加考慮地選擇可用的最佳穩壓方案,而無視實際最低規格,這會導致過度設計。對于小批量設計,這種方法可能值得繼續,但對于大批量生產,性能、成本和復雜性必須優化,過度設計可能是一種不受歡迎的浪費。
下面是一種定量推導電源規格的方法:
用正弦波調制電源以表征H(s)。H(s)將是頻率的函數,每十倍頻程測試一次。
分配電源對雜散和相位噪聲的貢獻,在RF規格之下留一定的裕量。
計算電源紋波規格,

計算電源噪聲規格,

上述第一步中的一個重要事項是了解Hm (s)和HØ (s)在設計預期的工作條件下如何變化。在HMC589A表征中,此變化是在若干功率水平下進行測量,如圖10所示。


圖10. Hm (s)和HØ (s)的變化與偏移頻率和功率水平的關系,使用HMC589A 評估電路,頻率為3.2 GHz
結語
雖然人們普遍認為,在RF應用中應限制電源紋波和噪聲,但很少有人充分理解其定量影響。利用本文所述的系統化方法,工程師可以按部就班地量化電源對期望RF性能的影響,從而做出明智的電源選擇。
(來源:亞德諾半導體)
(來源:亞德諾半導體)
免責聲明:本文為轉載文章,轉載此文目的在于傳遞更多信息,版權歸原作者所有。本文所用視頻、圖片、文字如涉及作品版權問題,請電話或者郵箱聯系小編進行侵刪。





